Monitorizarea și managementul progresiei PID în PID-AR

Monitorizarea regulată a progresiei pneumopatiei interstițiale difuze asociate poliartritei reumatoide PID-AR poate pregăti deciziile adecvate de tratament1,2

Clepsidra

MONITORIZAREA PROGRESIEI PID-AR CU PFR SE RECOMANDĂ LA INTERVALE DE 3–6 LUNI, APOI LA FIECARE 6–12 LUNI DACĂ BOALA ESTE STABILĂ1

Se estimează că 40% dintre pacienții cu PID-AR dezvoltă un fenotip fibrozant progresiv3,4

Fenotipul fibrozant progresiv este definit de prezenţa:5-8

Creșterea gradului de fibroză pe HRCT

Creșterea gradului de fibroză la HRCT

agravarea simptomelor respiratorii

Agravarea simptomelor respiratorii
Declinul funcției pulmonare

Declinul funcției pulmonare
Factori de risc pentru progresia PID în PID-AR
HRCT
  • Amploarea anomaliilor pulmonare interstițiale (PIA)9,10

  • Modelul UIP11

PFR
  • Valoare inițială redusă a CVF sau DLCO11,12

  • Scăderea >10% a CVF sau >15% a DLCO în perioada de urmărire12,13

  • TLCO <54% din valoarea prezisă9

Biomarkeri serologici
  • Valoare inițială crescută a KL-614

 

HRCT

Anomaliile pulmonare interstițiale apar la 20%–60% dintre pacienții cu AR și s-au dovedit a fi progresive radiografic în 57% din cazuri pe o perioadă de 1,5 ani.10,15

Pacienții cu PID-AR care prezintă progresie la HRCT au avut o implicare inițială mediană a PIA/PID semnificativ mai mare (p=0,001)10

Modelul UIP pe HRCT este un factor de risc pentru un prognostic mai prost în PID-AR, dar pacienții cu alte modele HRCT pot prezenta, de asemenea, progresie, așa cum s-a demonstrat într-un studiu al Clinicii Mayo11

Aflați cum să utilizați HRCT în practica clinică

Procentul de pacienți care progresează la CVF <50% prezis în funcție de timpul de la diagnosticul PID11

Nu a fost observată nicio diferență în progresia către CVF la <50% dintre pacienții cu modele UIP și NSIP într-un studiu de la Clinica Mayo11

Procentul de pacienți care progresează la CVF <50% prezisă în funcție de timpul scurs de la diagnosticarea PID

Procentul estimat de pacienți cu CVF <50% în funcție de timpul de la diagnosticarea PID la 167 de pacienți cu PID-AR subdivizați pe tipul PID.
HR: 0,86; 95% CI: 0,27, 2,73.
Progressive Decline of Lung Function in Rheumatoid Arthritis-Associated Interstitial Lung Disease, Jorge et al, ©2022, Arthritis and Rheumatology. Reprodus cu permisiunea John Wiley & Sons Inc.

 

Procentul de pacienți care progresează la DLCO <40% estimat în funcție de timpul de la diagnosticarea PID11

Modelul UIP a fost asociat mai semnificativ cu progresia DLCO <40% din valoarea prezisă față de modelul NSIP într-un studiu al Clinicii Mayo11

Procentul de pacienți care progresează la DL CO <40% estimat în funcție de timpul scurs de la diagnosticarea PID

Procentul estimat de pacienți cu DLCO <40% (sau prea bolnavi pentru a efectua testul) în funcție de timpul de la diagnosticarea PID la 167 de pacienți cu PID-AR subdivizați pe tipul PID.
HR: 3,29; 95% CI: 1,28, 8,41.
Progressive Decline of Lung Function in Rheumatoid Arthritis-Associated Interstitial Lung Disease, Jorge et al, ©2022, Arthritis and Rheumatology. Reprodus cu permisiunea John Wiley & Sons Inc.

 

PRF

CVF și DLCO inițial scăzute la diagnosticarea PID-AR cresc riscul de progresie a PID11

  • CVF sau % DLCO din valoarea prezisă scăzute la momentul inițial, scăderea >10% a CVF sau scăderea >15% a DLCO în perioada de monitorizare, toate sunt asociate cu progresia PID și cu o mortalitate crescută la pacienții cu AR12,13.

O rată crescută de declin a CVF și DLCO în primele 6 luni crește riscul de progresie spre afectarea severă a funcției pulmonare11

 

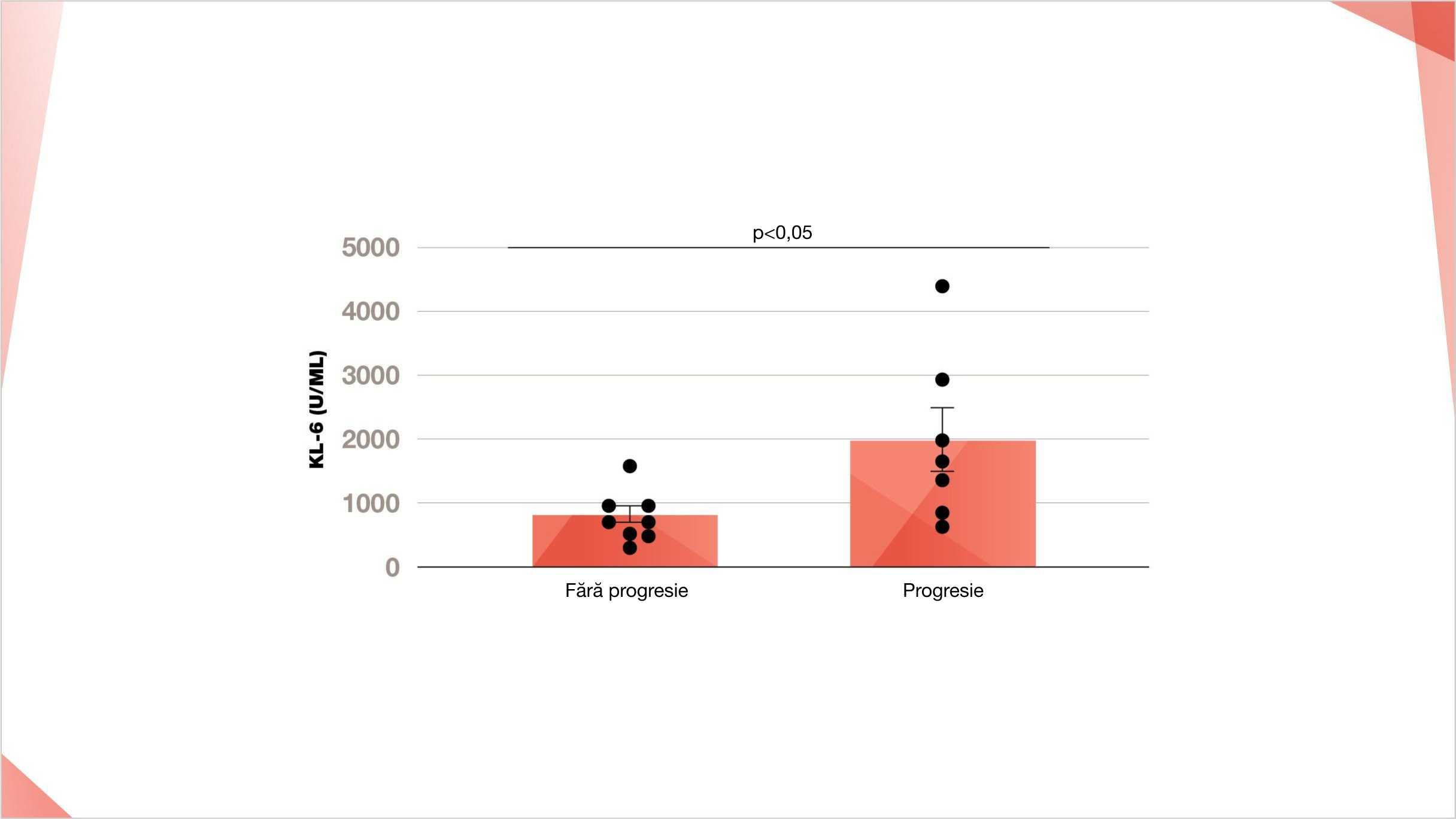
SEROLOGIE

S-a descoperit că, concentrațiile serice inițiale ridicate de KL-6 sunt asociate cu progresia PID în PID-AR14*

serologie

Concentrația KL-6 (U/mL) în funcție de progresia PID_AR
* După cum este definit prin progresia >10% a fibrozei la HRCT și fie o scădere a CVF >15%, fie o scădere a CVF >10% combinată cu o scădere a DLCO >15%
Reprodus după PLoS ONE, Avouac et al, 15(5), e0232978, ©2022, cu permisiunea BMJ Publishing Group Ltd.

La pacienții cu PID-AR asimptomatică, este obligatorie o urmărire clinică, funcțională și radiologică a plămânului pentru a-i identifica pe cei cu boală progresivă2

 Urmărirea strictă, pentru a monitoriza progresia PID, este recomandată la pacienții cu PID-AR folosind evaluarea periodică a simptomelor respiratorii, PFR, DLCO și HRCT2,16

PROGRESIA ȘI SEVERITATEA PID SUNT PRINCIPALII FACTORI DE LUAT ÎN CALCUL ÎN LUAREA DECIZIILOR TERAPEUTICE PENTRU PID-AR2

Tratamentul poate fi luat în considerare:17

Dacă modelul HRCT este UIP sau NSIP

Indiferent dacă modelul HRCT este UIP sau NSIP

Dacă PID este semnificativă clinic (simptome, severitate)

Dacă PID este semnificativă clinic (simptome, severitate)

Dacă PID este progresiva

Dacă PID este progresivă

Tratamentul pentru PID-AR ar trebui intensificat atunci când PID progresează.18 Dacă pacientul PID-AR nu răspunde la tratamentul de primă linie sau se deteriorează, ar putea fi luate în considerare diferite opțiuni de tratament.17

 

 

SE RECOMANDĂ O ABORDARE MULTIDISCIPLINARĂ DE ECHIPĂ PENTRU LUAREA DECIZIILOR DE TRATAMENT PENTRU PID CU FENOTIP PROGRESIV LA PACIENȚII PID-AR2

Managementul multidisciplinar care include reumatologi și pneumologi are un rol esențial în optimizarea îngrijirii pacienților cu PID-AR1

Managementul multidisciplinar care include reumatologi și pneumologi are un rol fundamental în optimizarea îngrijirii pacienților cu PID-RA

Aflați cum să colaborați în mod proactiv pentru a optimiza îngrijirea pacienților cu PID printr-o abordare de echipă multidisciplinară

 

 

Ce alte abordări de management ar trebui să luați în considerare?

Note

  • CI, interval de încredere; PID-BTC, pneumopatie interstițială difuză asociată cu boli ale țesutului conjunctiv; DLCO, factorul de transfer gazos pentru monoxid de carbon; CVF, capacitate vitală forțată; HR, hazard ratio; HRCT, tomografie computerizată de înaltă rezoluție; IIP, pneumopatie interstițială idiopatică; ILA, anomalie pulmonară interstițială; PID, pneumopatie interstițială difuză; KL-6, Krebs von den Lungen-6; NSIP, pneumopatie interstițială nespecifică; PFR, probe funcționale respiratorii; AR, artrită reumatoidă; PID-AR, pneumopatie interstițială difuză asociată cu artrita reumatoidă; DLCO factorul de transfer gazos pentru monoxid de carbon; UIP, pneumopatie interstițială uzuală.

  1. Iqbal K and Kelly C. Treatment of rheumatoid arthritis-associated interstitial lung disease: a perspective review. Ther Adv Musculoskelet Dis. 2015;7(6):247–267.
  2. Cassone G, Manfredi A, Vacchi C, et al. Treatment of rheumatoid arthritis-associated interstitial lung disease: lights and shadows. J Clin Med. 2020;9(4):1082. doi: 10.3390/jcm9041082.
  3. Olson AL, Hartmann N, Padmaja P, et al. Estimation of the Prevalence of Progressive Fibrosing Interstitial Lung Diseases: Systematic Literature Review and Data from a Physician Survey. Adv Ther. 2020; https://doi.org/10.1007/s12325-020-01578-6.
  4. Wijsenbeek M, Kreuter M, Olson A, et al. Progressive fibrosing interstitial lung diseases: current practice in diagnosis and management. Curr Med Res Opin. 2019;35(11):2015–2024.
  5. Flaherty KR, Brown KK, Wells AU, et al. Design of the PF-ILD trial: a doubleblind, randomised, placebo-controlled phase III trial of nintedanib in patients with progressive fibrosing interstitial lung disease. BMJ Open Respir Res. 2017;4(1):e000212. doi: 10.1136/bmjresp-2017-000212.
  6. Cottin V, Hirani NA, Hotchkin DL, et al. Presentation, diagnosis and clinical course of the spectrum of progressive fibrosing interstitial lung diseases. Eur Respir Rev. 2018;27(150):180076. doi: 10.1183/16000617.0076-2018.
  7. Cottin V, Wollin L, Fischer A, et al. Fibrosing interstitial lung diseases: knowns and unknowns. Eur Respir Rev. 2019;28(151):180100. doi: 10.1183/16000617.0100-2018.
  8. Kolb M and Vašáková M. The natural history of progressive fibrosing interstitial lung diseases. Respir Res. 2019;20(1):57. doi: 10.1186/s12931-019-1022-1.
  9. Dawson JK, Fewins HE, Desmond J, et al. Predictors of progression of HRCT diagnosed fibrosing alveolitis in patients with rheumatoid arthritis. Ann Rheum Dis. 2002;61:517–521.
  10. Kawano-Dourado L, Doyle TJ, Bonfiglioli K, et al. Baseline characteristics and progression of a spectrum of interstitial lung abnormalities and disease in rheumatoid arthritis. Chest. 2020:S0012-3692(20)31412-4. doi: 10.1016/j.chest.2020.04.061.
  11. Zamora-Legoff JA, Krause ML, Crowson CS, et al. Progressive decline of lung function in rheumatoid arthritis associated interstitial lung disease. Arthritis Rheumatol. 2017;69(3):542–549.
  12. Esposito AJ, Chu SG, Madan R, et al. Thoracic manifestations of rheumatoid arthritis. Clin Chest Med. 2019;40(3):545–560.
  13. Solomon JJ, Chung JH, Cosgrove GP, et al. Predictors of mortality in rheumatoid arthritis-associated interstitial lung disease. Eur Respir J. 2016;47(2):588–596.
  14. Avouac J, Cauvet A, Steelandt A, et al. Improving risk-stratification of rheumatoid arthritis patients for interstitial lung disease. PLoS One. 2020;15(5):e0232978. doi:10.1371/journal.pone.0232978.
  15. Gochuico BR, Avila NA, Chow CK, et al. Progressive preclinical interstitial lung disease in rheumatoid arthritis. Arch Intern Med. 2008;168(2):159–166.
  16. Assayag D, Lee JS, King Jr TE. Rheumatoid arthritis associated interstitial lung disease: a review. Medicina (B Aires). 2014;74(2):158–165.
  17. Lake F and Proudman S. Rheumatoid arthritis and lung disease: from mechanisms to a practical approach. Semin Respir Crit Care Med. 2014;35(2):222–238.
  18. Wallace B, Vummidi D, Khanna D. Management of connective tissue diseases associated interstitial lung disease: a review of the published literature. Curr Opin Rheumatol. 2016;28(3):236–245.
  19. Chowaniec M, Skoczyńska M, Sokolik R, Wiland P. Interstitial lung disease in systemic sclerosis: challenges in early diagnosis and management. Reumatologia. 2018;56(4):249–254.
  20. Cottin V, Brown KK. Interstitial lung disease associated with systemic sclerosis (SSc–ILD). Respir Res. 2019a;20(1):13.
  21. Wijsenbeek M, Cottin V. Spectrum of Fibrotic Lung Diseases. N Engl J Med. 2020;383:958–968.
  22. Ryerson CJ, Cayou C, Topp F, et al. Pulmonary rehabilitation improves long-term outcomes in interstitial lung disease: a prospective cohort study. Respir Med. 2014;108(1):203-210.
  23. Kreuter M, Bendstrup E, Russell A, et al. Palliative care in interstitial lung disease: living well. Lancet Respir Med. 2017;5(12):968-980. 
  24. Maher TM, Wuyts W. Management of Fibrosing Interstitial Lung Diseases. Adv Ther. 2019;doi:10.1007/s12325-019-00992-9. [Epub ahead of print].
  25. Sgalla G, Cerri S, Ferrari R, et al. Mindfulness-based stress reduction in patients with interstitial lung diseases: a pilot, single-centre observational study on safety and efficacy. BMJ Open Respir Res. 2015;2(1):e000065.